关于我们
-
物联网技术在工程监测中的应用与研究
发布时间:2019-4-19 浏览次数: 3597 物联网技术在工程监测中的应用与研究
作者:吴旭森
【摘要】现代地铁施工、运营不断向智能化、数据化方向发展,对地铁安全监测方法和技术也提出了新的要求,高效、准确、实时正成为时代的方向,采用传统的人工监测模式显然是无法满足这方面的需求的。本文主要以物尔物在线智能位移监测仪为例,以智能平差分析软件为依托,构建一套自动化、智能化、及时性强的地铁安全监测系统,并基于此展望物联网技术在工程监测行业中的发展前景。
【关键字】地铁;物联网;在线位移监测仪;监测
一、 概述
近些年来,随着经济飞速发展,建筑业的日新月异,各类建筑市政工程投资不断扩大,设计结构越来越复杂,各种科学技术大量运用于建设中,这就对工程的科学智能化提出了更高的要求。物联网技术具备极强的综合性,在国防、建筑、医疗等众多领域都有突出的作用。
物联网是在互联网概念的基础上,将用户端延伸和扩展到某个物品上,是物品与物品之间进行信息交换和通信的一种网络概念。其主要使用各种信息传感设备把全球定位系统、激光扫描器等装置与互联网结合起来形成一个巨大的网络,是系统可以自动、实时对物体进行识别、定位、追踪、监控等事件。随着科技的发展,物联网技术有着十分广阔的发展空间
目前,在我国已有地铁的城市中,地铁沿线的深基坑、两条地铁线路相互交
叉、下穿等工况越来越多,如何在地铁隧道开挖盾构过程中以及地铁运营过程中高效的监测隧道变化是一个十分现实的问题。目前的解决方案是人工利用全站仪等仪器设备进行现场检测,其会因人为主观因素影响导致观测结果不实,同时两次测量间隔较长,留有重大安全隐患。其次,现有观测方法需要大量人力资源,成本较高。地铁采用物联网技术、自动化监测手段,对隧道结构进行24小时无线安全监测,系统将可以让自动化监测工程变得更加安全和方便,并且可以及早预防事故的发生,减少人员和财产的损失。
二、在线智能位移监测仪
在线位移监测系统由合肥物尔物信息科技有限公司携手清华信息科学与技术国家实验室物联网技术中心联合研发,并得到中国科学技术大学、合肥工业大学和中科院微电子所和的大力支持。系统运用最前沿的多传感器融合、物联网大数据和智能处理技术,致力于为地铁隧道、高层建筑、桥梁等建筑结构安全维护提供智慧、安全、高效的解决方案。该系统主要特点有:
1、数据真实可靠性
由于该仪器能自动剔除原始测值中的假点(干扰值/粗大误差),对密集的多数数据取均值。监测频率高,数据量大,监测仪在1分钟之内向被测点发出10次测试信号,对同一点获取10个测试位移,每小时重复三次,每天对同一点将获取720个被测点的测试位移数据,将其传至后台管理中心,能准确地判断建筑物位移变化的发展趋势。
2、数据实时有效性
对同一被测点,每次测量获得的10组原始数据传至后台即刻进行处理,平均处理时间小于5秒,能够有效地反应测量被测点的实时位移。工作效率高,克服了人为因素造成的干扰。
3、数据查询即时性
后台分析处理后的数据,可通过网页浏览器或微信公众号等终端软件平台及时反馈至客户。相关技术人员能够通过客户终端及时了解被测物体的实时位移和变形等。
三、 基本原理
物尔物在线位移监测系统是以自主研发的智能位移监测仪作为基准点,通过监测仪和被监测点之间的相对位移数据来判断位移/位置变动数值。如:在地铁隧道内,每个测量断面安装一台位移监测仪,单台位移监测仪可同时对该断面中6个测点的位移变动进行监测,也可以检测自身相对于测量基准的三维位置变动和三维角度姿态变动,通过测量基准传递的方式,实现长隧道的变形测量。

监测时,监测仪周期性地向无线感知接收器发射无线信号,无线感知接收器内芯片对接收到的信号进行处理后返回监测仪,系统根据信号相位特征变化和测量参量矩阵,融合距离、角度、地磁、重力场等多源传感信息,运用高维度模糊聚类等智能数据分析算法,计算观察目标的位移变动数据,并通过模式学习、趋势分析等技术进行数据校准。各监测点测得位移数据通过物联网系统上传至后台管理中心,根据其监测场景模型对初测进行分析处理后,形成监测数据报告反馈至客户终端。
在多设备组网时,每个测量断面设置一个基准点安装一台监测仪器,发射信号进行被测目标的位移监测。
相邻的测量断面之间,可以本断面基准为准,测量上一断面基准的坐标变动来形成统一基准。
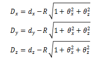
比如以初始基准点B0为准,测量下一断面基准点B1的变动,那么B1安装三个位移信号发射源测量B1相对于B0的三维位置变动(dx,dy,dz)
同时B1自身安装有检测自身方位变动的三轴转角测量传感器,测得自身的角度变化(θx, θy, θz)
消除B1自身旋转引起的测量值变化后,B1的实际坐标变动,
R为B0和B1之间的距离
上式计算中已消去小角度转动情况下的高阶小量
这样就测出了B1相对于B0的坐标变化。通过逐测量基准传递的方式,可以是多个断面的测量值都统一到相同的基准B0之上。任意一个断面的绝对坐标变动量Di
四、 实际应用
1. HF市轨道3号线天水路站~岱河路站盾构区间左线全长为1291.147米,右线1292.073米,下穿HF东站8股货运股道。铁路列车的运行对地表沉降、地表隆起影响较大。物尔物在线位移监测仪在此工程中每20分钟一次数据实时更新,完成了监测盾构施工区域内的地面沉降、铁路路基沉降、铁路轨道变形、接触网立柱变形,采用三级报警机制针对异常数据自动报警、完成实时数据上传并统计报表等工作。
2. HF市地铁5号线文忠路桥站应用于因312国道改建穿越轨道1、5号线区间隧道保护监测。主要对隧道拱顶、收敛、轨道位移以及路基沉降进行了监测。
此外在线智能位移监测仪还应用于2号线蜀山西路站及界首路站HZ市地铁1号线滨康路站等在线位移的监测数值与传统人工及徕卡监测数值对比的最大误差0.5mm,得到省内外知名建筑设计院及监测单位的一致认可。
五、 展望
土木建设是一个综合性的大工程,对安全性有着较高的要求,因为这联系着人们的生命财产安全。同时在施工过程中仍存在大量隐患,如无法及时获取位移变化等。想要解决这些问题,其中一个重要的问题就是如何得到物体真实可靠、实时有效的变形(位移),大力发展物联网技术,将物联网技术应用到工程实践中将是解决此问题的一个很好途径。可以预计,建设智慧城市,物联网技术的运用势必有长足的发展和广阔的空间。
。
参考文献
[1] 城市轨道交通工程监测技术规范 GB 50911-2013
[2] 城市轨道交通结构安全保护技术规范 CJJ/T 202-2013
[3]朱洪波 . 物联网的技术思想与应用策略 研究 [J]. 通信学报,2010(11) : 2-9.
[4]彭瑜 . 物联网技术的发展及其工业应用的方向 [J].自动化仪表,2011 (1) : 1-7.
[5]工程测量规范 GB 50026-2007
通讯作者:合肥物尔物信息科技有限公司副总经理
吴旭森(Tel:15055106721)
上一篇: 热烈祝贺我司在合肥地铁三孝口站保护监测项目圆满成功 下一篇: 我司领导参加第11届中国城市轨道交通和高铁监测技术交流大会





QQ客服
